一.小麥赤霉病流行現狀
小麥赤霉病是由禾谷鐮刀菌、黃色鐮刀菌等真菌引起的一種世界性小麥病害,多發生在氣候溫潤多雨的的國家和地區(亞洲、北美洲等),發生、流行主要取決于適宜發病的暖濕氣候條件,會造成小麥減產、品質劣變、籽粒毒素(DON)污染。
據報道,2016年夏季麥收季節,江蘇、安徽、湖北等地連續陰雨,赤霉病發生情況嚴重:江蘇徐州:預計減產2成,赤霉病嚴重,不完善粒預計在25%左右;安徽亳州:赤霉病、芽麥嚴重,預計減產2成,不完善粒達25%;湖北隨縣:不完善粒超標,赤霉病發生;蘇南蘇中:赤霉病發生、芽麥可達20-30%。
二.食物鏈中的嘔吐毒素
脫氧雪腐鐮刀菌烯醇(Deoxynivalenol,DON),俗稱“嘔吐毒素”(vomitoxin),它是禾谷鐮刀菌和黃色鐮刀菌等真菌侵染谷物后所產生的次級代謝產物,是赤霉病小麥中最主要的真菌毒素。
赤霉病小麥中嘔吐毒素DON含量的變化進程
小麥籽粒中的嘔吐毒素DON
1、小麥制品中的嘔吐毒素DON
嘔吐毒素主要分布在小麥籽粒中的皮層部位,小麥經過初期加工后,毒素主要轉移至麩皮中,因此麩皮即成為小麥初加工產品中最易被DON污染的基質;面粉中雖然嘔吐毒素DON含量低,但污染范圍廣。
百奧明飼料公司對2012年市場中31份麩皮樣品分析,發現其中嘔吐毒素DON含量最高達5777 μg/kg,平均含量為997 μg/kg。
王淞等對我國山東、河北、吉林等10個地區小麥粉中嘔吐毒素污染情況進行了調查,發現樣品嘔吐毒素DON檢出率為30%,最高含量為862 μg/kg,未超過國家標準限量規定,但嘔吐毒素DON的污染較為廣泛,且存在一定的膳食暴露風險。
2、面條中的嘔吐毒素DON
朱惠揚(2013)對廣州市農貿市場和超市中面粉及其加工食品進行采樣檢測。結果檢測100份樣品,嘔吐毒素DON總檢出率為71%,平均含量為49.5 μg/kg;其中面條中嘔吐毒素DON最高含量達920.1 μg/kg,存在較高膳食暴露風險。
3、發酵食品中的嘔吐毒素DON
食品在發酵過程中,由于合適的溫濕度條件,容易被真菌毒素污染。
吳靜(2013)研究了普洱茶發酵中真菌毒素的污染情況,發現所檢樣品中有38%的樣品嘔吐毒素DON含量超標(1 mg/Kg),且有27%的樣品超標2倍以上;釀酒過程中,嘔吐毒素會在浸泡、發芽、烘干、發酵的過程中產生,Schwarz(1995)發現與原始大麥樣品相比,發酵五天后的麥芽中嘔吐毒素DON含量增加了18-114%;Zachariasova(2012)采用Q-E測定制酒過程中嘔吐毒素DON侵染的狀況,結果顯示在芽麥和啤酒中 嘔吐毒素DON的含量為5.6-139 μg/kg。
4、飼料及其原料中的DON
三.嘔吐毒素的危害
1、嘔吐毒素DON對谷物的危害
嘔吐毒素DON會造成谷物產量嚴重損失、品質下降、毒素污染。
2、嘔吐毒素DON對人和動物的危害
人誤食含有嘔吐毒素DON的食物后, 常會引起四肢無力、頭昏、發熱、腹脹、腹瀉和嘔吐等癥狀;豬對嘔吐毒素DON最敏感,飼料中還有1-2ppm的嘔吐毒素DON即可引起豬中毒;豬食用含有嘔吐毒素DON的飼料后會引起厭食、嘔吐、腸出血、肺部出血,對懷孕母豬甚至會引起流產;動物對嘔吐毒素DON的敏感性:豬>小鼠>大鼠>家禽≈反芻動物;雄性>雌性;幼畜> 成年畜。
3、嘔吐毒素DON的一般毒性
嘔吐毒素DON在歐盟分類標準中為三級致癌物,雖不及T-2毒素的毒性強烈,但因其污染率和污染水平均居單端孢霉烯族毒素之首,并常與其他真菌毒素協同作用于人體,產生廣泛的毒性效應,如急性毒性、慢性和亞慢性毒性、細胞毒性、免疫毒性等多種毒性作用。
嘔吐毒素DON急性中毒癥狀一般表現為站立不穩、反應遲鈍、嗜睡、食欲喪失、嘔吐、腹瀉等;慢性毒性則表現為肝臟、腎臟、胃腸道等臟器損傷、體重嚴重下降、出現免疫功能障礙和生殖功能障礙;致吐作用:嘔吐是人和動物嘔吐毒素DON中毒最主要的癥狀,其中豬的致吐作用最明顯,約為其他動物的100-200倍;致吐機理主要是嘔吐毒素DON對粘膜以及神經系統的刺激作用。
4、嘔吐毒素DON的細胞毒性
嘔吐毒素DON對原核細胞和真核細胞都存在明顯的毒性作用。
原核細胞:一是通過滲透磷脂雙層,作用于亞細胞水平;二是通過與細胞膜相互作用;三是通過自由基介導的脂質過氧化作用。真核細胞:嘔吐毒素DON毒素可結合到真核生物核糖體60s亞基并干擾肽基轉移酶的活性,抑制蛋白、DNA、RNA合成,抑制線粒體功能、影響細胞分裂和細胞膜功能。
5、嘔吐毒素DON的免疫毒性
嘔吐毒素 DON 毒素通過改變宿主抵抗力和體液細胞調解反應,改變血清 IgA 水平、細胞因子表達,引起淋巴組織的細胞凋亡;小鼠飼喂含有嘔吐毒素DON的飼料,會呈現出和人類腎小球腎炎相似的病狀,即IgA腎病;嘔吐毒素DON可使血清中IgA和 IgE 含量升高。
6、嘔吐毒素DON的“三致”作用
當前國內外對嘔吐毒素DON毒素致突變、致畸和致癌作用的研究結果并不一致,大多數研究結果表明該毒素具有胚胎毒性和致畸性,可能是一種潛在的致癌物質。
用嘔吐毒素DON毒素純品做Ames實驗、誘導細胞染色體畸變實驗等,均顯示嘔吐毒素DON會引起突變和致畸;有關嘔吐毒素DON毒素與關節軟骨病變及惡性腫瘤的亞慢性實驗研究中證實,嘔吐毒素DON可以導致實驗動物軟骨損傷;1993年,國際癌癥研究中心(IARC)認為“目前還沒有充分的動物實驗證據說明DON毒素具有致癌性”,因此將其歸為第三組即“對人類不產生致癌性”。
7、嘔吐毒素的限量標準
世界各國對小麥中嘔吐毒素DON的限量標準
四.嘔吐毒素消減技術
1、物理消減法
谷物清理:去雜去石、風選、色選、比重分選、漂洗、浸泡;谷物加工:堿性溶液潤麥、分層碾磨、制粉;面制品加工:堿水和面、高溫蒸煮、面包烘焙、煎炸;吸附劑:鋁硅酸鹽、活性炭、高分子聚合物等;射線輻照:紫外線、60Co-γ射線、電子束;熱處理:微波干燥、過熱蒸汽處理、擠壓膨化處理等。
清理和浸泡對小麥中嘔吐毒素DON的影響
研磨制粉對小麥中嘔吐毒素DON的影響
面制品加工對嘔吐毒素DON的影響
面條加工過程對嘔吐毒素DON的影響
輻照——60Co-γ 射線
輻照——電子束
電子束輻照是利用電子加速器產生的低能或高能電子束射線對物質進行處理的方法。
其作用方式有兩種:一是通過高能脈沖直接穿透對象,破壞其中活體生物細胞內DNA,如利用電子束射線殺滅肉制品或谷物中的微生物或病蟲;二是利用發出的射線間接與水分子反應,產生H?、?OH 等活性自由基,自由基再與對象發生化學反應。
熱處理
加熱處理是一種比較常見的殺菌脫毒方法,包括烘烤、油炸、過熱蒸汽處理、擠壓、微波處理等。
Kottapalli等(2006)研究表明,熱水處理可以減少谷物中DON毒素的含量,但處理效果同時還受谷物顆粒大小或密度變化的影響;Samar 等(2007)的研究表明受真菌毒素污染的小麥面團在169℃、205℃和243℃三個溫度下油炸后,DON的含量分別降低 28%、21%和 20%;Pronyk(2006)采用過熱蒸汽經過185℃處理6min可使小麥中DON毒素含量降低52%;Bong Joo Park(2008)采用微波輔助等離子體作用于真菌毒素,結果顯示5s內可將DON完全降解。
2、化學降解法
堿性化:DON在堿性條件下會打開C-12,13位的環氧基,通過醇醛縮合反應形成內酯結構,從而降低毒性。
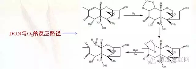
氧化:臭氧、雙氧水等氧化劑可以改變DON的分子結構,從而改變其生物活性;臭氧易攻擊DON分子結構中C-9、10位的雙鍵,在此結構上加上兩分子的氧,從而降低其毒性。
化學試劑:碳酸鈉(Na2CO3)、碳酸氫鈉(NaHCO3)、亞硫酸氫鈉(NaHSO3)和焦亞硫酸鈉(Na2S2O5)等化學試劑可以降解DON,使其結構發生變化;如NaHSO3和Na2S2O5可以將DON轉化成毒性較低的磺化-DON。
1)、化學試劑
含有嘔吐毒素DON的發霉玉米在室溫下經過氨水溶液處理1h、18h,其嘔吐毒素DON含量分別降低9%和85%(Young,1986);謝茂昌等(2000)對Na2CO3、NaHSO3、H2O2等化學試劑的DON毒素脫除效果進行了比較分析,結果發現,對麥粒的脫毒效果以0.1mol/L的Na2CO3為最好,毒素去除率平均為83.9%;其次是1%的NaHSO3,毒素去除率平均為69.9%;4% H2O2的毒素去除率最低,平均為45.1%;室溫條件下,采用2%的抗壞血酸處理24h,可以使小麥中的DON含量降低50% (Young,1986)。
2)、臭氧
臭氧可以氧化降解嘔吐毒素DON,改變其分子結構,從而降低其毒性。
臭氧首先在嘔吐毒素DON結構中的C-9和C-10雙鍵上加入三個氧原子,生成過氧化物,過氧化物不穩定,發生異構化生成五元環化合物,然后在Zn的作用下發生水解,五元環化合物的C-O鍵和O-O鍵斷裂,最后在C-9和C-10位上分別形成醛基和羰基,分子的其他部分沒有改變。
臭氧降解對面條品質的影響
經過臭氧處理30 min和60 min后面粉和面條的白度、面團穩定性、小麥淀粉的峰值粘度都有一定程度的提高;經過臭氧處理的面條具有更強的韌性、彈性和耐咀嚼性,然而,粘度特性卻很低;經過臭氧處理的面粉制作的面條可以在很大程度上延緩微生物的生長和面條的褐變。
3、生物脫毒法
應用微生物競爭來抑制真菌毒素、采用發酵工程技術降解真菌毒素、微生物降解真菌毒素、利用酶降解真菌毒素。生物脫毒作用基團:C-12,13環氧基團、C-3羥基等生物脫毒作用機理:水解作用、水合作用、糖苷化反應、異構化作用等。
一、嘔吐毒素熒光定量檢測試紙條性能
1、 靈敏度:25ng/mL;
2、 定量線性范圍:50.0ng/mL - 5000.0 ng/mL;
3、樣品前處理時間:8min;
4、檢測時間:10min;
5、準確度:添加回收率為80%-125%;
6、 特異性:在1000 ng/mL濃度水平下與其它真菌毒素無交叉反應;

二、嘔吐毒素熒光定量檢測卡樣品前處理過程
三、嘔吐毒素熒光定量檢測卡檢測過程操作示意圖
四、嘔吐毒素檢測儀結果判讀和輸出
嘔吐毒素熒光定量檢測卡采用便攜式嘔吐毒素檢測儀進行讀數,使得檢測結果更加準確、客觀,避免人為的誤判。
相關新聞
返回新聞列表